The question we're going to explore here is 'What is the trajectory followed by a rifle bullet after it leaves the barrel of the rifle?'. To make it easier to understand what the bullet does, we will make these assumptions:
  • the rifle is fired from level ground, across level ground
  • the rifle is pointed horizontally
  • there is no wind
  • air resistance (and the shape of the bullet) will be ignored
The trajectory or path that the bullet follows is a parabola, as you will see below. What we would like to calculate is the distance the bullet will travel before it hits the ground. What will make this distance larger or smaller?

If the bullet is fired horizontally, the only determining factors affecting the distance traveled are the height of the rifle and the speed of the bullet when it leaves the barrel. We'll assume the height to be about 5 feet. For a standard rifle, we will assume the value of the bullet's speed to be about 2900 feet per second, or about 88,400 centimetres per second. Because we are ignoring air resistance, (and tumbling of the bullet), this speed remains constant until the bullet reaches the ground. We can then calculate how far it travels by using the simple distance/velocity equation  d = v · t

But first we'll need to calculate the time ... how long is the bullet in flight?

Here's the principle you need to understand:

The horizontal motion of the bullet is completely independent of the vertical motion.

This means that the bullet starts to fall as soon as it leaves the barrel, and it will fall with the same acceleration as a bullet held in the hand and dropped.

It doesn't matter how fast or slow the bullet is moving horizontally ... the bullet will fall to the ground at the same acceleration as a bullet dropped from your hand. So to calculate how long it will take the fired bullet to hit the ground, we need only calculate the time for a bullet to fall to the ground from the same height as the rifle barrel.

Here's a diagram to illustrate what we mean, for three different bullet speeds:


Whether the bullet has a low velocity or a high velocity will determine how far it gets before it hits the ground. But notice that for all three speeds illustrated above, the bullet always hits the ground at the same time as the bullet that is merely dropped.

The bullet's path is also clearly parabolic. This is because, while the bullet's forward velocity is constant (there is no pushing force acting on it after it leaves the barrel), it is accelerating downwards under the force of gravity. The distance it falls increases with every fraction of a second that passes.

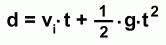
In order to find the time it takes to fall under acceleration, we will need to use this formula:
where d is the distance to fall, t is the time it takes to fall, g is the acceleration due to gravity, and vi is the initial downward velocity.

Because the bullet has no downward velocity when it is first dropped (or when it first leaves the barrel), the value of vi is zero.
This makes the equation simpler, since the first term is now gone:

We want to find the time t, so let's solve this equation for time:

(We ignore the negative value here, since time is usually always a positive quantity).

Here are the values we know:
  • d is the height of the rifle barrel. We'll use 5 feet, or about 150 cm
  • g is the acceleration due to gravity, or about   980 cm/s2
Here's the calculation:

This result tells us that a rifle bullet, when fired or dropped from a height of about 5 feet, will take just over half a second to hit the ground. This time won't change if the bullet is fired with a higher velocity.

So how far does the bullet travel? We can now go back to our original equation involving the horizontal speed of the bullet:
The bullet has a horizontal constant speed of  88,400 cm/s, and will hit the ground after 0.55 s:


The bullet will travel a distance of 486.2 metres. It is travelling in a parabolic arc downwards; if you are aiming at something far enough away where a drop of up to 5 feet will make a difference, you can compensate by adjusting the rifle's scope (based on how far away the target is). Remember, this assumes you are pointing the rifle horizontally over flat terrain. Shooting from elevation, or pointing the rifle upwards, will both cause the bullet to travel father than this ... but will make aiming even more difficult.

You might try redoing this calculation for a high velocity rifle, or for a shorter person, to see what effect each has on the distance the bullet covers. For example, if you are shooting prone on the ground, with the rifle barrel only 10 cm off the ground, the bullet will only travel about 126 metres!

It's also worth mentioning again that these calculations have ignored air resistance and bullet tumbling, both of which will act to shorten the distance travelled. The time to fall, however, will remain at 0.55 seconds, as the downward velocity over a height of 5 feet reaches a maximum of only 17.5 ft/s, far too small to make air resistance a factor.

I'd also like to apologize for the mixture of metric and Imperial units here. The U.S. is about the only country left in the world not on the metric system, which means many industries here still must use Imperial units. This is why we still have to measure lumber in board feet, bolts and screws in inches, and muzzle velocities in feet per second. Maybe one day they'll join the 21st century like the rest of us.



Resources


Content, HTML, graphics & design by Bill Willis 2023