We will assume that you know how to find derivatives of various functions.

We use the chain rule when differentiating a 'function of a function', like f(g(x)).
It helps us differentiate 'composite functions'

The chain rule states that the derivative of f(g(x)) is f'(g(x)) · g'(x).
If y = f(g(x)), then y' = f'(g(x)) · g'(x).

g is the function within f, so we call g the 'inner' function and f the 'outer' function.

You differentiate the outer function while keeping the inner function the same, then multiply this by the derivative of the inner function.




Let's do some examples.

Example 1:

What is the first derivative of y = (5x+6)2

y = (5x+6)2
If y = u2  then  y' = 2u1 · (derivative of u)
y' = 2(5x + 6)1 · (5)
and simplify:
y' = 10(5x + 6)
y' = 50x + 60


Example 2:

If y = (3x - 7)12,  find y'

y = (3x - 7)12
y' = 12(3x - 7)11 · 3
y' = 36(3x - 7)11


Example 3:

Find the derivative of the function f(x) = (2x2+5)3

f'(x) = 3(2x + 5)2 · (4x)
f'(x) = 12x·(2x + 5)2


Example 4: Differentiate:


Change the radical to an exponent first:

Now use the Chain Rule:

Finally, simplify and put back the radical:



Example 5:

Find the derivative of y = sin(3x2 + x)

The derivative of sin is cos:
y' = cos(3x2 + x) · (6x + 1)
y' = (6x + 1) · cos(3x2 + x)


Example 6:

Differentiate y = cos(x2)

The derivative of cos is -sin:
y' = - sin(x2) · 2x
y' = -2x·sin(x2)


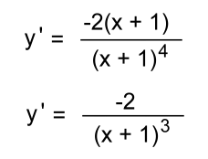
Example 7:


Replace the fraction by an exponent:

Use the Chain Rule:


Ordinarily we would stop here. But we noticed something:

The top and bottom factor to give the same base (x + 1):
allowing us to reduce the fraction:



Resources


Content, HTML & design by Bill Willis 2024