Here are some complete examples that illustrate the rules of differentiation.


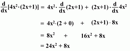
Example 1:


   The product rule is used first ...


   then the sum rule and the power rule.


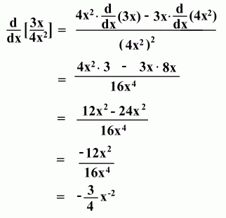
Example 2:



  This is the quotient rule ...




  then the constant multiple rule and the power rule.


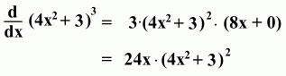
Example 3:


The chain rule ... and as it's being used, you also apply the
power rule twice, and the sum rule.



Back to the Rules | Main Page