DNA is a huge molecule that contains all the hereditary information about the living organism containing it, and it plays a major role in controlling the activites of all of the cells of that organism. Let's look at the structure of a DNA molecule, and why the molecule is special.

DNA is made from two long chain molecules called nucleic acid. Nucleic acids are the largest, most complex molecules inside living organisms. A nucleic acid is made from many nucleotides which are bonded together.

A nucleotide is a molecule containing three parts: a simple sugar called deoxyribose, a phosphate, and a special molecule called a nitrogen base. A DNA nucleotide can contain any one of four different nitrogen bases. These are adenine, thymine, guanine and cytosine. Nucleotides join together when the phosphate portion on one bonds with the sugar portion on another.


Shown at the left is a very simple nucleic acid with just two nucleotides joined together ... one containing adenine and one containing guanine. Actual nucleic acids contain millions of these nucleotides attached to one another.

There are just four possible nitrogen bases that can 'stick out' from a nucleotide.
Here are all four of them:
          


At the left is a longer nucleic acid shown in simpler form, with the
four possible nitrogen bases indicated by letters:

     A for adenine
     T for thymine
     G for guanine
     C for cytosine



Nucleotides can join together in any order, so the sequence of nucleotides can be any pattern like this:
  C - G - A - C - G - C - C - C - T - A - A - T - C
and the pattern can continue for millions of molecules.

The origins of the names:
- Adenine is from the Greek word for gland, because it was first discovered in the pancreas.
- Thymine was first found in the thymus gland.
- Cytosine was isolated from cells ('cyto' means cell).
- Guanine was originally located in bird guano (poop).

Before we continue, let's look at a single nucleotide in a little more detail.
First, at the right is the molecule adenine, one of the four nitrogen bases in a DNA molecule:

Adenine isn't a very big molecule, and the other three nitrogen bases are similar in size, differing only in the way the atoms are joined together.

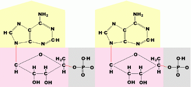
When adenine is attached to the simple sugar deoxyribose, which is joined to a phosphate, you get a complete nucleotide, in this case the one containing adenine. It's called adenosine, and there's a diagram of it below, left.


To make things clearer, we've shown this nucleotide on its side, relative to the diagrams above. If you were going to join this nucleotide to other ones, to make a nucleic acid molecule, they would attach left to right. We've shown a simple nucleic acid made from two nucleotides of adenosine, below.



We've now examined all of the pieces needed to make a molecule of DNA. Move on to  page two and we'll examine a complete DNA molecule and show you why it's so special!


Page One | Page Two | Page Three | Main Page